sábado, 29 de março de 2014

MPC PEDE AO TCE PARA ZÉ PACHECO DEVOLVER DINHEIROS E TER AS PRESTAÕES DE CONTAS DE GOVERNO REJEITADAS E AS PRESTAÇÕES DE CONTAS DE GESTÃO JULGADAS IRREGULARES


A Representação da 4ª Promotoria de Contas foi protocolizada em 23-03-2014, nos autos do processo nº TC/AL 3357/2014, sendo o resultado da denúncia que esta Ongue formulou em 23-09-2011 ao Ministério Público de Contas de Alagoas.

A mesma denúncia foi protocolizada em 19-09-2011 na Promotoria de Justiça desta comarca e as providências jurídicas estão sendo aguardadas pela população.

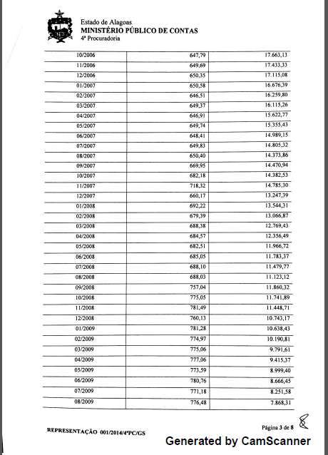
Como você pode ler na Representação abaixo, o MPC requereu que o ex-prefeito Zé Pacheco seja condenado a devolver a este Município o valor de R$929.721,13. Esse quase milionário montante é a soma dos juros de mora e da multa correspondentes ao não pagamento das contas de energia elétrica deste Município no período de dezembro de 2004 a março de 2011.

O montante, após ser acrescido da atualização monetária, passará de um milhão. Será uma das maiores dívidas a que um ex-gestor poderá ser condenado.

No referido período de apuração do débito, o valor não pago do consumo energético foi de R$2.534.719,30. Em dezembro de 2004 o gestor era Sertório Ferro, mas essa a conta teve o seu vencimento em janeiro de 2005, já no 2º mandato do então prefeito Zé Pacheco.

O estranho é que esse milionário prejuízo causado à população recebeu e continua a receber um ensurdecedor silêncio de nossos vereadores, exatamente as pessoas eleitas com o principal dever de fiscalizar a gestão municipal.

Além da devolução dessa dinheirama, o MPC pede que o TC-AL rejeite as contas de governo, quando da elaboração do seu parecer prévio, e julgue irregulares as contas da gestão.

Todavia, a dívida do consumo energético municipal de dezembro-2004 a março-2011 continuará a crescer, com o aumento dos prejuízos para a população e com a necessidade mais dinheiro ser devolvido pelos gestores..

O valor do débito relativo ao período de abril de 2011 a dezembro de 2012 ainda está em apuração junto à Ceal-Eletrobras e poderá aumentar ainda mais o valor original a ser devolvido pelo ex-gestor.

Produção: Ongue de Olho em São Sebastião
Contatos – Imeio:ongedolhoss@bol.com.br – Blogue:onguedeolho@bol.com.br
Redação: Paulo Bomfim (Conselheiro Municipal de Controle Social) e Paulo Henrique
Data: 28-03-2014
Publicação: http://onguedeolho.blogspot.com.br/2014/03/a-representacao-da-4-promotoria-de.html









Arapiraca2014–ARAPIRACA EM DEBATE ACONTECEU NESSA SEXTA-FEIRA, NO AUDITÓRIO DA UNEAL, NO CAMPUS ARAPIRACA

Com publicado neste blogue em http://paulobomfim-pt.blogspot.com.br/2014/03/arapiraca2014-arapiraca-em-debate.html, um conjunto de partidos políticos: PT (Jade Albuquerque), PV (José Malba), PMDB (Fernando Macedo), PPS (Lindomar), PSC (João Evangelista) e PC do B (Professor Clébio, que foi substituído por Silvânia, inicialmente e no final por José Lino) atuante em Arapiraca, município do Agreste alagoano, realizou nessa sexta-feira, no auditório da Uneal (Universidade Estadual de Alagoas), no campus de Arapiraca, o 1º seminário “Arapiraca em Debate”.
Esse 1º Arapiraca em Debate teve como lema: “Políticas Públicas e Desenvolvimento Social” e como os temas: “Desenvolvimento Urbano e o Plano Diretor Municipal, “Planejamento e Gestão de Recursos Públicos” e “Violência e Juventude: Causas e Consequências”.
A atualização da notícia sobre o evento será feita em breve

terça-feira, 25 de março de 2014

Arapiraca2014 – ARAPIRACA EM DEBATE ACONTECE NESSA SEXTA-FEIRA

Um conjunto de partidos políticos: PT, PV, PMDB, PPS, PSC e PC do B que atuam em Arapiraca, município da região Agreste de Alagoas, realizam nessa sexta-feira (28 de março), no auditório da Uneal (Universidade Estadual de Alagoas), no horário das 08:30 às 17:30 horas, o 1º seminário “Arapiraca em Debate”, cujo temário dessa 1ª edição será “Políticas Públicas e Desenvolvimento Social”.

O evento “é muito importante para toda essa Região Metropolitana do Agreste e não só para Arapiraca, pois há muito tempo as forças políticas desse interior não debatem possíveis soluções para problemas sociais aqui existentes, além do seu efeito irradiador para a região”, disse Jade Albuquerque, Presidente do PT-Arapiraca.

Outro objetivo importante é despertar e mobilizar a sociedade em geral, especial a chamada sociedade civil organizada, para participar da articulação e da execução da gestão municipal, tematizando e publicizando os problemas sociais e apresentando possíveis soluções para os mesmos.

Todos os partidos políticos de Arapiraca estão empenhados em fazer e participar das discussões, “pois precisam apresentar alternativas político-administrativas-legislativas para melhorar as condições socioeconômica do município de Arapiraca e, consequentemente, dessa região do Agreste, afirmou Dimas Francisco, Presidente do PT-São Sebastião, quando colaboração na articulação do seminário.

O 1º Seminário Arapiraca em Debate tem como lema: “Políticas Públicas e Desenvolvimento Social” e como temas: “Desenvolvimento Urbano e o Plano Diretor Municipal, às 08:30 horas, com o professor Diego Medeiros, “Planejamento e Gestão de Recursos Públicos”, às 13:00 horas, como José Paulo do Bomfim, do Foccopa (Fórum de Controle de Contas Públicas em Alagoas) e “Violência e Juventude: Causas e Conseqüências”, com o professor Luiz Gomes da Rocha, conhecido socialmente por “Luizinho”.

Segundo os organizadores, o seminário é gratuito e oferecerá almoço aos participantes, possibilitando a participação de todos. Até porque para “ir ao auditório da Uneal é fácil, pois da para ir a pé com facilidade”, arrematou Jade.  

domingo, 16 de março de 2014

SãoSebastião2014–Texto7º: Transferências constitucionais e legais do Estado, e algumas espécie e subespécies de impostos

   Continuando o Texto6º (www.onguedeolho.blogspot.com.br/2014/03/saosebastiao2014texto6-transferencias.html), chegamos a este Texto7º. Nele você terá ciência de quais e quanto serão as transferências constitucionais e legais do Estado ou Governo Estadual. Segundo ainda o projeto da Lei Orçamentária Anual (pLOA) de 2014. São transferências correntes, para custeio da gestão. O pLOA informa ou omite que não haverá transferência de capital do Estado em 2014.

Por que o Estado não faz investimentos aqui?

Conhecerá também algumas espécies e subespécies de impostos. São “impostos estaduais”, mas que um determinado percentual repassado para este Município, por determinação da Constituição Estadual de 1989, bem como os “fundos”, que servem para repartição dos impostos do Estado para com os municípios.

    Tabela6 – Transferências constitucionais e legais, correntes do Estado, bem como alguns fundos

TRANSFERÊNCIAS CONSTITUCIONAIS CORRENTES
4.037.558,00
 
Tributária
IPI
18.481,00
Royalties do petróleo
72.719,00
IPVA
308.979,00
ICMS
3.131.590,00
Fundos
 
Saúde
315.879,00
Fundeb:  parte de dinheiros do Estado e Município
15.931.103,00
TRANSFERÊNCIAS CONSTITUCIONAIS DE CAPITAL
00,00

Produção: Ongue de Olho em São Sebastião
Contatos - Imeio: ongdeolhoss@bol.com.br - Blogue: www.onguedeolho.blogspot.com
Redação: Paulo Bomfim e Mateus Bomfim
Fonte: Projeto da Lei Orçamentária Anual de 2014
Data: 25-11-2013

Para que o Estado continuará esquecendo este Município em 2014, pois não existe nenhum convênios informado no pLOA.. Os valores que você acabou de conhecer devem ser ainda acrescidos de 40% decorrentes do crédito adicional suplementar, que deverá ser “automaticamente” fixado pela Câmara Municipal.


O Fundeb é composto por dinheiros do Estado e do Município, que são deduzidos dos respectivos impostos. Se a somas desses recursos for inferior ao estipulado, o Govenro Nacional complementa o valor, como você no Texto6º. Se a soma for igual ou ultrapassar  não existe a complementação. Por isso, que alguns estados e municípios “ganham” com o Fundeb e outro “perdem”.


O Imposto sobre Produtos Industrializados (IPI) é nacional. Parte desse imposto é repassado pelo Governo Nacional para o Estado. Do valor repassado pela União, o Estado repassa uma parte (10%) para os municípios, proporcionalmente à população.


Do Imposto sobre a Propriedade de Veículos Automotores (IPVA), 50% do valor o Estado repassa para o Município ao qual o veículo pertence. Não entanto, as diversas taxas (emplacamento etc.) não tem parte do valor repassado e nem as multas.

O Imposto sobre a Circulação de Mercadorias e de Serviços (ICMS) repassa 25% para o município. O ICMS é um imposto indireto e quase ninguém percebe que o paga na compra de qualquer mercadoria ou serviço. É muito importante, mas até constrangedor para alguns, pedir a nota fiscal na compra de qualquer produto. Além da garantia do produto ou serviço, ela também comprova a propriedade do bem ou serviço.

Portanto, não se esqueça de fazer o debate em sua comunidade, com o objetivo e a finalidade de construir as igualdades e as identidades sociais são-sebastiãoenses.

Enfim...

Com esse Sétimo Texto, chegamos ao fim dessa análise sobre o pLOA de 2014. Esperamos que você tenha refletido muito sobre as situações. Todavia, existe a necessidade de todas as entidades que existe neste Município tomarem consciência da importância de debater o orçamento e exigir que o Prefeito e os vereadores e a vereadora façam as audiências públicas  a que são obrigados.

Você achou o quê?

Dê sua importante opinião.

Utilize o imeio ou faça algum comentário no blogue desta Ongue, canais de comunicação que estão acima informados.

Acompanhe também a análise sobre o Balanço Municipal. O de 2013 deve ser entregue pela Prefeitura à Câmara até 30 de março de 2014. É no Balanço que você poderá verificar como o Prefeito e os parlamentares, efetivamente, gastaram a dinheirama.

Será que o gasto beneficiou à população?

Na LOA tem as determinações da Câmara Municipal para este Município arrecadar e para gastar, inclusive ela própria. Todavia, é no respectivo Balanço que você poderá observar se a LOA foi realmente respeitada ou se foi apenas mais uma “obra de ficção”, como alguns dizem, de forma errada, é claro.

Cabe a você fiscalizar no exercício do seu direito-dever de participação na gestão municipal e poder exigir melhores políticas públicas e para todos e todas.

Quando esta Ongue tiver acesso ao Balanço Municipal (já solicitou à Promotoria de Justiça a requisição de cópia do de 2012, face à negativa do Presidente da Câmara Municipal, vereador e advogado Afonso Pacheco recusar-se até em protocolizar o respectivo ofício) divulgará as espécies de gastos.

No entanto, você poderá pedir uma cópia a qualquer dos nossos 12 vereadores e a nossa única vereadora. O “difícil” – realmente, como disse um presidente de associação - é você ou qualquer um de nós receber a referida cópia.

Mas...

Vá à luta!

SãoSebastião2014–Texto6º: Transferências constitucionais e legais da União, e algumas espécie e subespécies de impostos

Continuando o Texto5º (www.onguedeolho.blogspot.com.br/2014/03/saosebastiao2014texto5-montante-da.html), neste Texto6º você conhecerá quais e quanto serão as transferências constitucionais e legais da União ou Governo Nacional para este Município. Segundo o projeto da Lei Orçamentária Anual (pLOA) de 2014. São transferências correntes, para custeio da gestão, e transferência de capital, para investimentos.

Conhecerá também algumas espécies e subespécies de impostos. São “impostos nacionais”, mas que um determinado percentual repassado para este Município, por determinação da Constituição Nacional, bem como os “fundos”, que servem para repartição dos impostos da União para com os municípios e os estados.

Os programas são atividades específicas, praticamente permanentes, que recebem dinheiro para a respectiva implantação e manutenção . São criados por leis e vinculam os valores às respectivas despesas.

       Tabela5 – Transferências constitucionais e legais, correntes e de capital da União, bem como alguns programas e fundos

TRANSFERÊNCIAS CONSTITUCIONAIS CORRENTES
28.504.696,00
Renda Própria Corrente é a receita destinada à manutenção de todos os gastos municipais, incluídos, os do  custeio da Câmara Municipal.
Elas não aumentam o patrimônio municipal, conservam-no e dão funcionalidade à gestão.
São chamadas também de “custo municipal” e se fossem bem usadas melhorariam e muito a situação de todo o povo em cada um dos 102 municípios alagoanos
 
Tributá-ria
Royalties do petróleo
221.413,00
Cont. Interv. Dom. Econômico
189.910,00
ITR
15.520,00
 
 
 
Pro-
gra-
mas
e
Ações
 
Rede Cegonha
150.000,00
Saúde Bucal
521.841,00
Agente Com. de Saúde
905.499,00
Farmácia Básica
309.097,00
Deson. do ICMS Exportação
80.597,00
Transporte Escolar
359.552,00
Merenda Escolar
607.373,00
Salário Educação
532.419,00
Prog. Errad. Trab. Infantil - PETI
120.000,00
Projovem Adolescente
107.000,00
 
Fundos
 
Saúde
6.995.705,00
FPM (SOMA DE IR + IPI)
18.927.930,00
Assistência Social
715.855,00
Desenv. da Educação (FNDE)
1.547.676,00
Fundeb - Complementação
4.158.830,00
TRANSFERÊNCIAS DE CAPITAL – de convênios de diversas áreas
14.173.000,00

Produção: Ongue de Olho em São Sebastião
Contatos - Imeio: ongdeolhoss@bol.com.br - Blogue: www.onguedeolho.blogspot.com
Redação: Paulo Bomfim e Mateus Bomfim
Fonte: Projeto da Lei Orçamentária Anual de 2014
Data: 25-11-2013

Os convênios também são para obras ou atividades específicas, mas temporárias. Com os dinheiros do Programa de Aceleração do Crescimento (PAC) têm recebido muito dinheiros em todo o Brasil. Os convênios são também “escoadouro” dos dinheiros municipais, pois as fiscalizações encontram os mais diversos tipos de fraudes, desvios etc..


Os valores que você acabou de conhecer devem ser ainda acrescidos de 40% decorrentes do crédito adicional suplementar, que deverá ser “automaticamente” fixado pela Câmara Municipal.


As receitas correntes são as que servem para a manutenção ou custeio da administração municipal. Em qualquer administração pública, essa categoria de receitas é a que mais movimenta dinheiros, eis que a manutenção da “máquina pública” consome muito “combustível do contribuinte”.

Elas têm como importante característica não gerarem como resultado administrativo um aumento do patrimônio municipal, apesar de poderem e muito contribuir para a melhoria das políticas públicas municipais, a depender da priorização dos gastos e da qualidade do uso do dinheiro dessa categoria.

As receitas de capital são as servem para reais investimentos e, assim, para aumentarem o patrimônio municipal, pois criam novos bens ou equipamentos municipais. Elas virão da renda própria municipal “de capital” e das transferências constitucionais e legais dessa categoria econômica, especialmente quando se referem a convênios e parcerias.

Segundo o pLOA, as receitas correntes totais são de R$75.507.852,00, para custearem as atividades municipais, somadas a renda própria municipal e das transferências constitucionais e legais da União e do Estado.

As receitas de capital são de R$19.842.200,00, oriundas das transferências constitucionais e legais da União referentes a essa categoria econômica. Segundo o pLOA, o Estado não fará transferência de receita de capital.

No pLOA de 2014 também não há nenhuma renda própria municipal nessa categoria de receitas, que adviriam da amortização de empréstimos, operações de crédito e alienação de bens, que estão zeradas.

Portanto, não se esqueça de fazer o debate em sua comunidade, com o objetivo e a finalidade de construir as igualdades e as identidades sociais são-sebastiãoenses.

O Estado também transfere dinheiro referente a receitas correntes. Mas isso será objeto do Texto7º, seguir.

Mas...

Você está achando o que disso tudo?

Dê sua importante opinião. Utilize o imeio ou faça algum comentário no blogue desta Ongue, canais de comunicação que estão acima informados.